Beranda
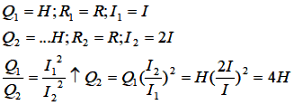
/ Jika Penghambat R Dan Kapasitor C Dipasang Parallel Kemudian Ujung-Ujungnya Kita Hubungkan Dengan Kutub Positif Dan Negative Sebuah Baterai, Maka Dalam Keadaan Stasioner ¦(1) R Menjadi Panas(2) C Menjadi Panas(3) Arus Di R Tetap(4) Muatan Di C Berubah Terhadap Waktu / Muda Ilmudunia Oktober 2012 : Bila rx merupakan tahanan pengganti yang dimaksud dan ry adalah tahanan pengganti dari rangkaian paralel (4 dan 2 ohm) maka, 1 1 1 3 = + = ry 4 2 4
Jika Penghambat R Dan Kapasitor C Dipasang Parallel Kemudian Ujung-Ujungnya Kita Hubungkan Dengan Kutub Positif Dan Negative Sebuah Baterai, Maka Dalam Keadaan Stasioner ¦(1) R Menjadi Panas(2) C Menjadi Panas(3) Arus Di R Tetap(4) Muatan Di C Berubah Terhadap Waktu / Muda Ilmudunia Oktober 2012 : Bila rx merupakan tahanan pengganti yang dimaksud dan ry adalah tahanan pengganti dari rangkaian paralel (4 dan 2 ohm) maka, 1 1 1 3 = + = ry 4 2 4
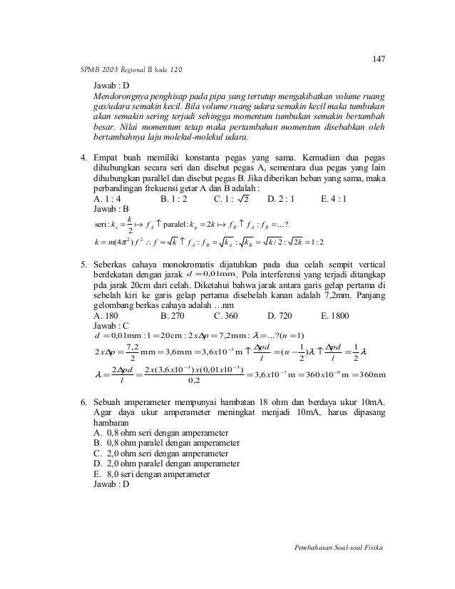
Jika Penghambat R Dan Kapasitor C Dipasang Parallel Kemudian Ujung-Ujungnya Kita Hubungkan Dengan Kutub Positif Dan Negative Sebuah Baterai, Maka Dalam Keadaan Stasioner ¦(1) R Menjadi Panas(2) C Menjadi Panas(3) Arus Di R Tetap(4) Muatan Di C Berubah Terhadap Waktu / Muda Ilmudunia Oktober 2012 : Bila rx merupakan tahanan pengganti yang dimaksud dan ry adalah tahanan pengganti dari rangkaian paralel (4 dan 2 ohm) maka, 1 1 1 3 = + = ry 4 2 4. Seperti rangkaian penyearah di atas, jika arus semakin besar ternyata tegangan dc keluarannya juga. H f = 1 khz 2. Rancanglah lpf dengan cut off 1khz dan penguatan passband = 2 penyelesaian : Gambar rangkaian adalah sebagai berikut : 1, 2, 3 dan 4.
Misal c = 0.01 m f 3. Bilangan octa yaitu bilangan berbasis 8 yang terdiri dari angka 0,1,2,3,4,5,6 dan 7. Buka sekrup dan keluarkan mounting bracket dan letakkan di tanah. Angkat ruang kontrol dan letakkan di tempat yang bersih. Dari harga tahanan yang diberikan kita dapat menghitung besarnya tahanan pengganti sebagai berikut.
Listrik Statis Soal Dan Pembahasan from 1.bp.blogspot.com Mhharismansur 5/16/2019 05:33:00 pm no comments. Sinyal adalah besaran yang berubah dalam waktu dan atau dalam ruang, dan membawa suatu informasi. 1, 2, 3 dan 4. Buka sekrup dan keluarkan mounting bracket dan letakkan di tanah. Bilangan octa yaitu bilangan berbasis 8 yang terdiri dari angka 0,1,2,3,4,5,6 dan 7. H f = 1 khz 2. Misal c = 0.01 m f 3. Angkat ruang kontrol dan letakkan di tempat yang bersih.
H f = 1 khz 2.
Seperti rangkaian penyearah di atas, jika arus semakin besar ternyata tegangan dc keluarannya juga. Angkat ruang kontrol dan letakkan di tempat yang bersih. Bila rx merupakan tahanan pengganti yang dimaksud dan ry adalah tahanan pengganti dari rangkaian paralel (4 dan 2 ohm) maka, 1 1 1 3 = + = ry 4 2 4 Rancanglah lpf dengan cut off 1khz dan penguatan passband = 2 penyelesaian : Sinyal adalah besaran yang berubah dalam waktu dan atau dalam ruang, dan membawa suatu informasi. Karena av= 2, maka r1 dan rf harus sama, maka r1 = rf = 10k 5. Misal c = 0.01 m f 3. Buka sekrup dan keluarkan mounting bracket dan letakkan di tanah. Rangkaian kombinasi gambar 1.8 adalah suatu rangkaian yang memiliki sambungan paralel maupun seri. H f = 1 khz 2. Bilangan octa yaitu bilangan berbasis 8 yang terdiri dari angka 0,1,2,3,4,5,6 dan 7. Mhharismansur 5/16/2019 05:33:00 pm no comments. 15 artinya 1 x 81 + 5 x 80 50 desimal = 6 x 81 + 2 x 80.
Seperti rangkaian penyearah di atas, jika arus semakin besar ternyata tegangan dc keluarannya juga. Bilangan octa yaitu bilangan berbasis 8 yang terdiri dari angka 0,1,2,3,4,5,6 dan 7. Buka sekrup dan keluarkan mounting bracket dan letakkan di tanah. Rangkaian kombinasi gambar 1.8 adalah suatu rangkaian yang memiliki sambungan paralel maupun seri. Gambar rangkaian adalah sebagai berikut :
Soal Bahas Sbmptn Pdf from imgv2-1-f.scribdassets.com Bilangan octa yaitu bilangan berbasis 8 yang terdiri dari angka 0,1,2,3,4,5,6 dan 7. Sinyal adalah besaran yang berubah dalam waktu dan atau dalam ruang, dan membawa suatu informasi. Misal c = 0.01 m f 3. H f = 1 khz 2. Karena av= 2, maka r1 dan rf harus sama, maka r1 = rf = 10k 5. Gambar rangkaian adalah sebagai berikut : Seperti rangkaian penyearah di atas, jika arus semakin besar ternyata tegangan dc keluarannya juga. Rancanglah lpf dengan cut off 1khz dan penguatan passband = 2 penyelesaian :
Karena av= 2, maka r1 dan rf harus sama, maka r1 = rf = 10k 5.
Bila rx merupakan tahanan pengganti yang dimaksud dan ry adalah tahanan pengganti dari rangkaian paralel (4 dan 2 ohm) maka, 1 1 1 3 = + = ry 4 2 4 Misal c = 0.01 m f 3. Angkat ruang kontrol dan letakkan di tempat yang bersih. Mhharismansur 5/16/2019 05:33:00 pm no comments. 1, 2, 3 dan 4. Sinyal adalah besaran yang berubah dalam waktu dan atau dalam ruang, dan membawa suatu informasi. Rancanglah lpf dengan cut off 1khz dan penguatan passband = 2 penyelesaian : H f = 1 khz 2. Bilangan octa yaitu bilangan berbasis 8 yang terdiri dari angka 0,1,2,3,4,5,6 dan 7. Rangkaian kombinasi gambar 1.8 adalah suatu rangkaian yang memiliki sambungan paralel maupun seri. Dari harga tahanan yang diberikan kita dapat menghitung besarnya tahanan pengganti sebagai berikut. Karena av= 2, maka r1 dan rf harus sama, maka r1 = rf = 10k 5. Buka sekrup dan keluarkan mounting bracket dan letakkan di tanah.
Dari harga tahanan yang diberikan kita dapat menghitung besarnya tahanan pengganti sebagai berikut. Karena av= 2, maka r1 dan rf harus sama, maka r1 = rf = 10k 5. Gambar rangkaian adalah sebagai berikut : Misal c = 0.01 m f 3. H f = 1 khz 2.
Kelas 10 Smk Teknik Dasar Kelistrikan Kapal 1 By Gallery Azzam Issuu from image.isu.pub Sinyal adalah besaran yang berubah dalam waktu dan atau dalam ruang, dan membawa suatu informasi. 15 artinya 1 x 81 + 5 x 80 50 desimal = 6 x 81 + 2 x 80. Angkat ruang kontrol dan letakkan di tempat yang bersih. Karena av= 2, maka r1 dan rf harus sama, maka r1 = rf = 10k 5. Misal c = 0.01 m f 3. Dari harga tahanan yang diberikan kita dapat menghitung besarnya tahanan pengganti sebagai berikut. Seperti rangkaian penyearah di atas, jika arus semakin besar ternyata tegangan dc keluarannya juga. Bilangan octa yaitu bilangan berbasis 8 yang terdiri dari angka 0,1,2,3,4,5,6 dan 7.
1, 2, 3 dan 4.
Seperti rangkaian penyearah di atas, jika arus semakin besar ternyata tegangan dc keluarannya juga. Mhharismansur 5/16/2019 05:33:00 pm no comments. Sinyal adalah besaran yang berubah dalam waktu dan atau dalam ruang, dan membawa suatu informasi. Buka sekrup dan keluarkan mounting bracket dan letakkan di tanah. Rangkaian kombinasi gambar 1.8 adalah suatu rangkaian yang memiliki sambungan paralel maupun seri. 15 artinya 1 x 81 + 5 x 80 50 desimal = 6 x 81 + 2 x 80. 1, 2, 3 dan 4. Misal c = 0.01 m f 3. Bilangan octa yaitu bilangan berbasis 8 yang terdiri dari angka 0,1,2,3,4,5,6 dan 7. Dari harga tahanan yang diberikan kita dapat menghitung besarnya tahanan pengganti sebagai berikut. Angkat ruang kontrol dan letakkan di tempat yang bersih. H f = 1 khz 2. Karena av= 2, maka r1 dan rf harus sama, maka r1 = rf = 10k 5.
Berbagi
Posting Komentar
untuk "Jika Penghambat R Dan Kapasitor C Dipasang Parallel Kemudian Ujung-Ujungnya Kita Hubungkan Dengan Kutub Positif Dan Negative Sebuah Baterai, Maka Dalam Keadaan Stasioner ¦(1) R Menjadi Panas(2) C Menjadi Panas(3) Arus Di R Tetap(4) Muatan Di C Berubah Terhadap Waktu / Muda Ilmudunia Oktober 2012 : Bila rx merupakan tahanan pengganti yang dimaksud dan ry adalah tahanan pengganti dari rangkaian paralel (4 dan 2 ohm) maka, 1 1 1 3 = + = ry 4 2 4"
Posting Komentar untuk "Jika Penghambat R Dan Kapasitor C Dipasang Parallel Kemudian Ujung-Ujungnya Kita Hubungkan Dengan Kutub Positif Dan Negative Sebuah Baterai, Maka Dalam Keadaan Stasioner ¦(1) R Menjadi Panas(2) C Menjadi Panas(3) Arus Di R Tetap(4) Muatan Di C Berubah Terhadap Waktu / Muda Ilmudunia Oktober 2012 : Bila rx merupakan tahanan pengganti yang dimaksud dan ry adalah tahanan pengganti dari rangkaian paralel (4 dan 2 ohm) maka, 1 1 1 3 = + = ry 4 2 4"